Реестры бенефициаров на Сейшелах были введены достаточно давно – в 2021 г. В реестр файлировались данные о конечном собственнике компании, при этом данные находились не в публичном доступе. Оффшорное законодательство постоянно меняется, в частности, в 2023 году были приняты поправки, относящиеся к информации, которая должна отражаться в реестре. Т.к. данный вопрос является актуальным, и собственники компании часто интересуются объемом данных, которые они должны предоставлять о себе государственным органам, мы решили осветить этот момент в настоящей статье, рассказав, какие были приняты изменения и как это затронет владельцев компаний.
Предпосылки принятых изменений
Международные стандарты, принятые Группой разработки финансовых мер по борьбе с отмыванием денежных средств (ФАТФ) и Организацией по экономическому сотрудничество и развитию (ОЭСР) требуют от оффшорных юрисдикций хранить информацию о бенефициарных собственниках. Эта информация должна быть доступна компетентным государственным органам по соответствующему запросу.
Несмотря на то, что международные компании вносят существенный вклад в мировую экономику, они нередко используются их владельцами в незаконных целях, таких как отмывание денежных средств, коррупция, финансирование терроризма, уклонение от уплаты налогов и др. Поэтому данные меры предприняты, в первую очередь, в целях борьбы с любой незаконной деятельностью.
Понятие «бенефициарного собственника» было также введено с целью идентификации конечного владельца компании для борьбы с обозначенными выше проблемами.
Согласно сути законодательной инициативы, незаконное использование юридических лиц можно существенно сократить, если у государственных органов будет информация о собственниках компании, источниках происхождения их средств и другие данные, которые помогут установить связь с владельцем и привлечь к ответственности в случае выявления незаконной деятельности.
Кто такой бенефициарный собственник?
Согласно ст. 3 Закона о бенефициарах термин «бенефициарный собственник» означает одно или несколько физических лиц, которые могут осуществлять контроль над компанией или которые могут оказывать влияние на совершение сделок.
Раздел 3 BO regulations дает более развернутое определение «бенефициарному собственнику». Им является лицо, которое
- Имеет контрольный пакет акций в компании.
- Имеет иной вид контроля над компанией.
- Если лиц из п.п. 1 и 2 идентифицировать не удается, то в качестве бенефициара признается лицо, занимающее должность старшего управляющего.
Какой режим реестра существовал ранее и какая информация туда файлировалась?
Ранее на Сейшелах у реестра бенефициаров был достаточно простой режим. Во-первых, он не был публичным, т.е. содержащаяся в нем информация не была доступной третьим лицам (как, например, в UK, где реестр является открытым). Во-вторых, сам объем предоставляемой информации был меньше.
Ранее в реестре по собственнику компании указывались следующие данные:
- ФИО, дата рождения, национальность, адрес проживания;
- Дата, когда лицо стало собственником компании;
- Процент владения, количество принадлежащих акций;
- Если владение осуществляется не напрямую, то информация о номинале.
Какие изменения в реестре бенефициаров произошли с принятием нового закона?
Принятые изменения были введены постановлениями: BO (Amendment) Regulations 2023 и BO (Amendment) Bill от декабря 2022. Для упрощения работы как государственных органов, так и регистрационных агентов, были выпущены Guidelines, т.е. руководящие положения, которые разъясняют нормы закона и помогают применять их на практике.
Самые существенные аспекты принятых изменений заключаются в следующем:
1) По каждому бенефициару в реестр обязательно должен быть зафайлирован NIN, т.е. national identification number, и TIN, т.е. tax identification number.
В качестве NIN чаще всего используется номер заграничного или внутреннего паспорта, ID карты, в редких случаях – водительское удостоверение. Иными словами, это любой документ с номером, который может использоваться как удостоверение личности. В качестве TIN используется налоговый номер, например, ИНН, или любой другой номер, который идентифицирует физическое лицо как налогоплательщика. В некоторых странах налоговые номера в принципе отсутствуют, вместо них используется, например, номер ID карты – все зависит от конкретной страны.
2) Аналогичные данные указываются в том случае, если владение компанией осуществляется через номинала – его NIN и TIN также обязательно файлируются в реестр.
Данные меры были приняты для того, чтобы у государственных органов было больше данных о владельцах компаний.
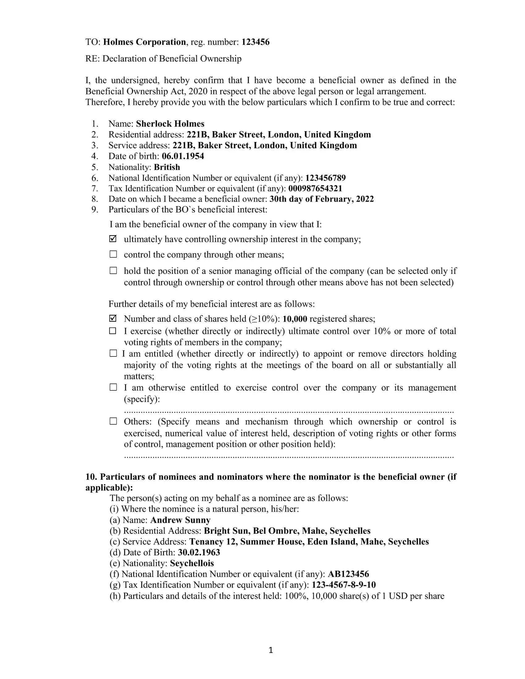
Ниже приводим официально утвержденные декларации, которые подписываются владельцами компаний для подтверждения своих данных, а также формы реестров по новому образцу. Данные формы были официально утверждены в Guidelines.







