Законодательство зарубежных стран о реестрах бенефициаров не стоит на месте. Если ранее правительства многих стран просто пришли к осознанию необходимости идентифицировать конечных собственников компаний, то сейчас многие страны приняли поправки к законодательству, которые обязывают подтверждать информацию о собственниках на ежегодной основе. В данной статье мы расскажем о принятых поправках, а также о странах, которые только пришли к первичному введению Реестров.
Какие страны недавно ввели у себя реестры бенефициаров?
Несколько лет назад мы подробно рассказывали о предпосылках к появлению законодательства о реестрах бенефициаров. Предлагаем ознакомиться с данной информацией в нашей статье.
Недавно аналогичное законодательство было принято еще в 2 юрисдикциях – на Кайманах и в Делавере (США).
В Делавере в Реестре придется раскрыть следующую информацию:
- ФИО собственника,
- дату рождения,
- адрес проживания, а также
- данные по самой reporting компании.

Ведением Реестра будет заниматься United States Department of the Treasury Financial Crimes Reporting Network. При этом реестр не будет публичным и доступным для 3х лиц. За неисполнение обязанности предусмотрен существенный штраф до 10 000 долларов.
На Кайманах были приняты схожие требования.
Ранее обязанность по хранению информации о конечных собственниках возлагалась на регистрационного агента компании. Согласно последним нововведениям эти данные должны быть переданы в Cayman Islands Registry.
Для передачи данных агенты просят заполнять информацию по специальной форме, в которой указываются данные по самой компании и по собственнику:
- ФИО,
- гражданство,
- дата рождения,
- адрес проживания,
- % владения компанией, а также
- паспортные данные.
При этом, как и в Делавере, реестр не становится публичным. Получение данных из него доступно только государственным органам в рамках официального запроса. За неисполнение обязанности по файлированию Реестра также предусмотрен штраф в размере до 5 000 долларов.
Обязанность по ежегодному подтверждению данных в Реестре на Кипре и на Сейшелах
Кипр и Сейшелы по-прежнему остаются одними из самых востребованных юрисдикций среди наших клиентов, поэтому считаем важным осветить произошедшие там изменения.
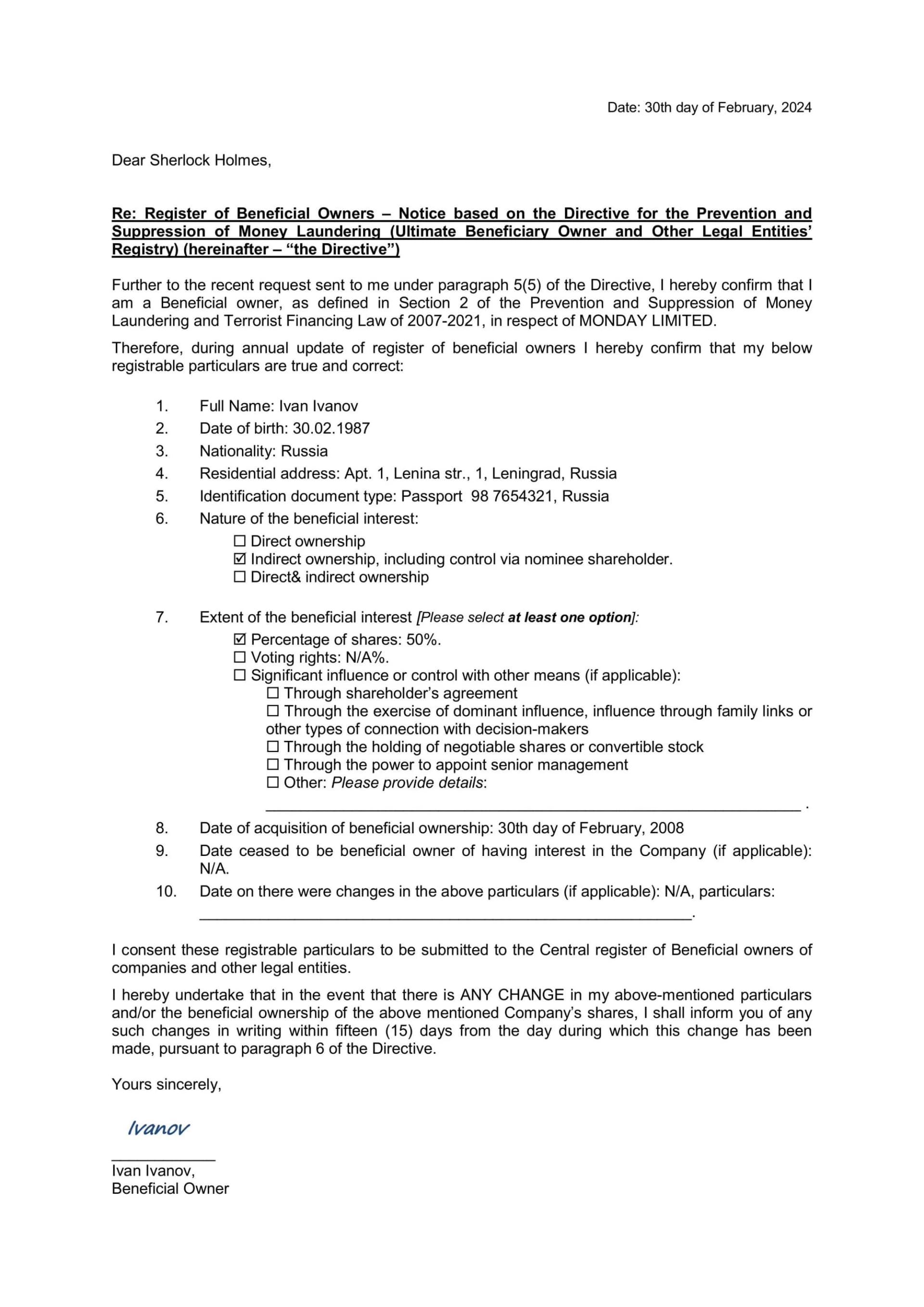
На Кипре второй год подряд действует требование о необходимости ежегодного подтверждения данных собственника в Реестр. Сделать это нужно в конце каждого года – с 1 октября по 31 декабря. Для подтверждения данных подписывается BO confirmation, в котором собственник или подтверждает неизменность своих данных, или указывает, какие произошли изменения.

За неисполнение обязанности по ежегодному подтверждению адреса предусмотрен штраф – 200 евро за первый день просрочки + 100 евро за каждый последующий день, но не более 2 000 евро.
На Сейшелах в 2024 году приняли схожие поправки к закону о Бенефициарных собственниках, которые вводят обязанность подтверждать данные на ежегодной основе.
Начиная с 2025 года эта обязанность выглядит следующим образом: компания должна провести проверку файлов и верификацию собственника за 3 месяца ДО даты продления, а подтверждение данных должно быть зафайлировано не позднее, чем в течение месяца ПОСЛЕ даты продления.
Т.е., если дата продления компании, например, 1 февраля 2025 года, то проверка файлов компании должна проводиться начиная с 1 ноября 2024 года, а файлирование необходимо осуществить в срок до 1 марта 2025г.
Для подтверждения данных у собственника подписывается Confirmation of Beneficial ownership declaration.


Помимо этого, для подтверждения факта должной проверки файлов компании подписывается Declaration form for periodic review of Beneficial owners.

За неисполнение данной обязанности предусмотрен штраф до 20 000 сейшельских рупий (около 1 500 USD).
Важно отметить, что как на Кипре, так и на Сейшелах, сами декларации хранятся в файлах компании как подтверждающие документы. Непосредственно в Реестр они не подгружаются.



